Original article

A theoretical approach to the corrosion inhibition of iron (110) in HCl activation by environmental benign four amino acids: MC simulation and DFT studies

  • Umme Habeeba a ,
  • Narasimha Raghavendra , b, *
Expand
  • a Department of Zoology, Government First Grade College, Hubballi 580032, India
  • b Department of Chemistry, K. L. E. Society's P. C. Jabin Science College, Hubballi, Karnataka 580031, India
* (N. Raghavendra).

Received date: 2024-11-26

  Revised date: 2025-01-25

  Accepted date: 2025-02-27

  Online published: 2025-03-20

Copyright

3050-628X/©2025 INTERNATIONAL SCIENCE ACCELERATOR PTY LTD. Publishing services by Elsevier B.V. on behalf of KeAi Communications Co. Ltd. This is an open access article under the CC BY-NC-ND license (http://creativecommons.org/licenses/by-nc-nd/4.0/).

Abstract

In order to get a comprehensive understanding of the corrosion behaviour of mild steel (110) with alanine, arginine, cysteine, and tyrosine in gas and aqueous phases, a systematic theoretical study using MC simulation was conducted in the current investigation. Stronger interfacial spontaneous adsorption of amino acid molecules across the Fe (110) surface in the investigated environment is made possible by the more negative adsorption energy values found in the MC simulation. Effectively repelling the corrosive particles from the substrate and delaying their aggregation are the capabilities of four amino acids. The results of the MC simulation also show that, in order to stop corrosion, amino acid molecules replace any other ions or solvent water that had previously been adsorbed on the metal surface. The trend of tyrosine > cysteine > alanine > arginine is shown by the protection capacity derived from the MC simulation. Furthermore, the DFT studies demonstrate that, charge transfer takes place within the molecule based on the calculated E-HOMO and E-LUMO energies. When adsorbed onto a metal surface, heteroatoms like nitrogen, oxygen, and sulphur in an amino acid structure provide the stronger inhibition. The decreased HOMO-LUMO gap, indicating improved electronic contact with the Fe (110) surface. A greater reactivity and potential for electron transfer are suggested by the EHOMO and ELUMO values (EHOMO -19.71 eV for alanine, -16.83 for cysteine, -10.73 for arginine and -16.80 for tyrosine) and (ELUMO EHOMO -10.81 eV for alanine, -9.34 for cysteine, -2.69 for arginine and -9.06 for tyrosine) which are advantageous for adsorption onto the Fe ( 110 ) surface. Current study finds that, alanine, arginine, cysteine and tyrosine were emerging as a novel and effective and sustainable corrosion resistance agent for acid pickling and cleaning procedures. These outcomes may lead to the development of more and large-scale green inhibitors and a better understanding of their mechanisms for eco-friendly industrial processes.

Cite this article

Umme Habeeba , Narasimha Raghavendra . A theoretical approach to the corrosion inhibition of iron (110) in HCl activation by environmental benign four amino acids: MC simulation and DFT studies[J]. Extreme Materials, 2025 , 1(2) : 1 -10 . DOI: 10.1016/j.exm.2025.02.001

1. Introduction

Mild steel (MS) is a common structural material used in many industries because of its inexpensive and efficient nature. It has very little carbon in it between 0.05 % and 0.29 % of the total weight. It is malleable, ductile, low tensile strength and cannot be hardened by heat treatment [1,2]. The metallic degradation has drawn a lot of attention due to excessive utilization of MS in industries and its tendency to dissolve in acidic environments. This material corrodes easily because of its low corrosion resistance and tends to return to its original state. The mechanism governing the rate of corrosion is dependent on the several factors, including acidity, temperature, conductivity, pH,O2, and Cl-[3]. The following is an electrochemical reaction involving an oxidation/reduction process in mild steel [4].
$\mathrm{F}\mathrm{e}\to {\mathrm{F}\mathrm{e}}^{2+}+2{\mathrm{e}}^{-}$ (Anode: Oxidation process)
$2{\mathrm{H}}^{+}+2{\mathrm{e}}^{-}\to {\mathrm{H}}_{2}\uparrow $ (Cathode: Reduction process)
$\mathrm{F}\mathrm{e}+2{\mathrm{H}}^{+}\to {\mathrm{F}\mathrm{e}}^{2+}+{\mathrm{H}}_{2}\uparrow $
Mild steel corrosion has always been a major concern for researchers due to the potential risks to industry safety and financial losses [5,6]. Thus, scientists have dedicated themselves to investigating efficient, economical, and ecologically benign metal anti-corrosion techniques. After several years of investigation, the oil and gas industry has gradually adopted metal anti-corrosion techniques including coating, anodic protection, cathodic protection, surface treatment, and corrosion inhibitors. The addition of corrosion inhibitor was deemed a promising approach among these methods because of its benefits of low dosage, easy injection, and robust corrosion inhibition rate [7-12]. The active sites for adsorption of organic inhibitor molecules usually come from specific functional groups with unsaturated bonds and $\pi $ electrons, physiochemical and electronic properties (electronic density, and steric effects) or from heteroatoms ( N,O,S and P ) with lone pair electrons. Through the interaction of corrosion inhibitor molecules with the metal surface, the inhibitor can be adsorbed on the metal. By means of adsorption, which can be chemical or physical and is brought about by the interaction of the inhibitor polar centres with the metal active sites, organic compounds primarily prevent the corrosion. The adsorption process produced a barrier film that served to both isolate the metal from the corrosive solution and accomplish the anti-corrosion goal [13-17]. The majority of synthetic organic and inorganic compounds exhibit long-term corrosion inhibition and but they have the disadvantages of high consumption, poor effectiveness, environmental pollution, and easy precipitation, which limit their use in industrial sections [18].
Table 1 Amino acids as a green corrosion inhibitor for steel in HCl wash solution.
Name of the amino acid Metal Electrolyte solution Techniques employed Highest protection efficiency
Alanine Iron (111) 1 M HCl Electrochemical impedance spectroscopy (EIS), Tafel polarization, Monte Carlo (MC) and Molecular dynamics (MD) simulations 79 %
L-Cysteine Mild steel (MS) 1 M HCl Weight loss (WL), Potentiodynamic polarization (Tafel plot), AC impedance measurement and scanning electron microscopy. 98.58 %
L- Arginine Steel 1 M HCl Weight loss, potentiodynamic polarization, electrochemical impedance spectroscopy and electrochemical frequency modulation. 70.53 %
Tyrosine Carbon steel 1 M HCl Weight loss, Tafel plots, AC impedance spectroscopy, scanning electron microscopy DFT and MD simulation 99.77 %
Consequently, there is a growing effort to create corrosion inhibitors that are environmentally friendly and non-polluting. The non-toxic or low-toxic inhibitors among the numerous inhibitors that have been studied and used in industry as corrosion inhibitors are now far more important than they were a few years ago. However, it has been discovered that, amino acids are highly efficient non-toxic inhibitors for metals and alloys in a variety of corrosive media [19]. A molecule is considered an amino acid if it has at least one carboxyl (-COOH) and one amino ( -NH2 ) groups, which are typically attached to the same carbon atom ( $\alpha $ - or 2-carbon). - H and R -groups with varying sizes, shapes, and chemical properties (side chain) are the other ligands of the $\alpha $ carbon. Twenty distinct amino acids are utilised physiologically to form proteins in all species, including humans and bacteria. Table 1 lists the four amino acids that have been studied as green corrosion inhibitors for steel in acidic environment [20-23].
The molecular structures of amino acids comprise heteroatoms, such as S,N, and O, as well as a conjugated $\pi $-electrons system. Because of this characteristic, scientists are interested in investigating their potential to function as green corrosion inhibitors. Amino acids are inexpensive, nontoxic, greatly soluble in water, and produced with high purity. They also pose no harm to the environment. These characteristics would support their application as inhibitors of corrosion [24]. The relationship between the structure and molecular properties of inhibitors and their inhibition efficiencies has become increasingly clear with the advent of computational techniques. Understanding the connection between the structure and molecular characteristics of inhibitors and their inhibition efficiencies have become increasingly dependent on computational techniques in recent times. A useful technique for studying complex systems at the molecular level is Monte Carlo (MC) simulation. It has also developed into a potent tool for researching the nature of molecular motion, offering in-depth details on the molecular structure of corrosion inhibitors and the diffusion of corrosive particles. Monte Carlo simulation proves to be an effective tool for learning about the interactions between molecules and surfaces.
This approach offers useful knowledge for developing novel materials that are applicable to a range of contexts and sectors. Because MC simulation can identify the global optimal configuration once the corrosion inhibitor is adsorbed, it is frequently used in the adsorption of corrosion inhibitors on metal surfaces [25,26]. DFT computation has been extensively employed in studies on the electronic structures of inhibitors for many years.
By calculating a molecule's frontier orbital distribution and other quantum chemical parameters, the corrosion inhibitor's molecular reactivity, charge transfer, and structure-activity relationship are examined. The anticorrosive mechanism of the corrosion inhibitor can be elucidated by analysing various parameters related to its electronic structure and reactivity of molecules. Additionally, the atomic-level interaction between the corrosion inhibitor and interface can be ascertained [27,28]. A complete understanding of the corrosion inhibitors' mechanism of action on mild steel in acid media was hindered by the sparse theoretical research on mild steel corrosion inhibitors in acid media utilising amino acids. Consequently, the inhibition process of four amino acids, namely alanine, arginine, cysteine, and tyrosine (Fig. 1) in gas and aqueous phases, was modelled in this work using MC simulation and DFT technique. This fully comprehends the anticorrosive mechanism and encourage the creation of analogous organic inhibitors. Theoretical insights into the mechanism of inhibitor mole-cule-metal surface interaction have been gained through the application of MC simulation and DFT concept, opening up new avenues for the analysis of inhibition mechanisms. This information will be beneficial in the logical design of corrosion inhibitors, as there aren't many literature reports on the application of the MC simulation and DFT method for inhibition performance evaluation.
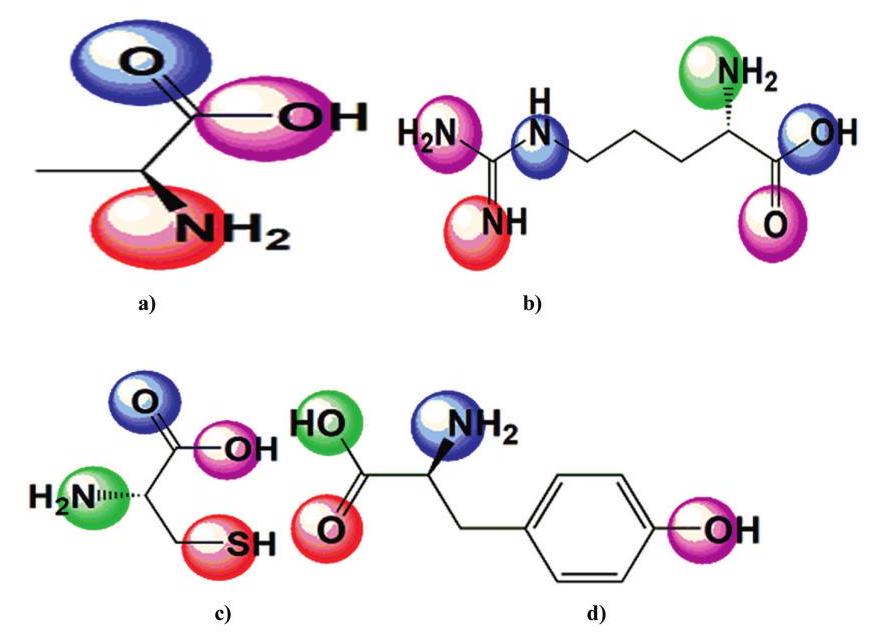
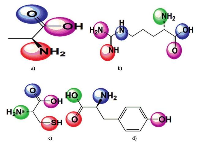
Fig. 1. Tested amino acids for mild steel in acid media a) Alanine b) Arginine c) Cysteine and d) Tyrosine.

2. Methodology

Monte Carlo (MC) simulation is a computational method that uses random sampling to study the behaviour of complex systems. The study of molecular adsorption on surfaces is one area in which MC simulation is used in materials science. The Adsorption Locator Model (ALM), a software tool that is part of Materials Studio (MS), is one noteworthy tool for this purpose. The tool enables users to perform MC simulations of adsorption processes on surfaces by providing them with the ability to specify different simulation parameters, such as temperature, pressure, composition of the gas phase, and surface properties. The software determines the energy of the system and places adsorbate molecules on the surface at random during the simulation. The interactions between the adsorbate molecules and the surface determine this energy. Simulation uses laws of thermodynamics and attempts to reorganise the adsorbate molecules on the surface before recalculating the energy of the system [29]. The Monte Carlo (MC) simulation technique is widely used in the study of corrosion inhibition methods of inhibitor molecules without using environmentally hazardous chemicals and lab equipment. This helps to improve different types of corrosion inhibitors and establish a correlation between the molecular structure and simulated results. The geometrical parameters of all stationary points for the amino acids under study have been optimised in both the gas and aqueous phases.
The theoretical calculations were carried out using Material Studio (version 8.0) and the adsorption locator module. Many variables were calculated, such as the total energy, rigid adsorption energy, adsorption energy, deformation energy, and dEad/dNI. The adsorption of a particular amino acid compound on the Fe surface under the COMPASS force field in HCl media with the H2O molecules was investigated using the Monte Carlo method. The literature [30-32] reports that, the Fe (110) crystal surface was chosen for this simulation because of its surface stability. After choosing the Fe cell, a four-step construction process was used to create the interaction model between the molecules and the Fe surface. These steps are as follows: (i) the crystal structure was divided into 8 layers after the surface was split along the ( 110 ) plane; (ii) a supercell ( 10×10 ) with Fe atoms in a size of 20×20Å was constructed; (iii) a vacuum layer was added above the surface of the Fe to remove the periodic boundary effect and 60Å is the vacuum thickness set, (iv) ensuring the entire molecule is inside the vacuum slab by positioning the energy-minimized inhibitor molecules on the appropriate spot on the Fe surface; (v) the Fe atoms were fixed and the inhibitors were permitted to relax with the metal surface.
For the purpose of preventing mild steel corrosion in harsh environments like hydrochloric acid, theoretical techniques like DFT offer invaluable insights into the reactivity and selectivity of potential inhibitors. One popular ab initio method for learning about molecular geometry and electron distribution is Density Functional Theory (DFT). The relationship between atomic-scale molecular structures and corrosion inhibition is investigated theoretically using DFT. This is due to the fact that experimental research rarely provides a thorough understanding of corrosion inhibition at the atomic scale [33]. The fundamental tenet of DFT is that the particle density function can characterise the ground state characteristics of atoms, molecules, and solids. DFT studies were carried out in Argus lab and Gaussian 3 software. This programme is the direct source of the E-HOMO and E-LUMO values. The following relations can be used to assess global hardness ( $\eta $ ) and electronegativity $\left(\chi \right)$ [34].
$\begin{array}{c}\eta =\frac{\mathrm{I}-\mathrm{A}}{2}\end{array}$
$\begin{array}{c}\chi =\frac{\mathrm{I}+\mathrm{A}}{2}\end{array}$
The electrophilicity index ( $\omega $ ) can be derived using the equation below.
$\begin{array}{c}\omega =\frac{{\mu }^{2}}{2\eta }\end{array}$
The global chemical hardness, which measures an atom resistance to charge transfer, the electronegativity, which measures an atom ability to draw electrons, and the global chemical softness, a frequently used reactivity parameter.

3. Results and discussion

3.1. Monte Carlo simulations

Monte Carlo simulations (MC) can offer important insights into the orientation and adsorption behaviour of corrosion inhibitors on metalelectrolyte interfaces. Fig. 2 and Table 2 present key conclusions from the study of the adsorption characteristics of amino acid molecules on the iron surface (110) using Monte Carlo simulations in a solvent environment with water and HCl. Fig. 2 shows the side view of the equilibrium configurations of Alanine, Arginine, Cysteine and Tyrosine adsorbed on the Fe (110) surface. Table 2 also includes a list of the various energy descriptors associated with this interaction. Upon visual inspection of the output images, it is evident that, the compounds align themselves nearly parallel to the Fe (110) surface. This improves the surface defence against aggressive ion like Cl-. Table 1 also includes a list of the various energy ( kcal/mol ) descriptors with this interaction. Numerous factors are included in these energies, including total energy, adsorption energy, rigid adsorption energy, deformation energy, and specific contributions from the various molecular species like HCl,H2O, and four different amino acids (alanine, arginine, cysteine and tyrosine). The energy of the substrate-adsorbate configuration is the sum of the energies of the adsorbate components. The surface of mild steel is zero. The adsorption energy, which is the product of the rigid adsorption energy and the deformation energy, is the total energy needed or released when the relaxed adsorbate components adsorb on the substrate. The components of the unrelaxed adsorbate that are adsorbed on the substrate without any geometry optimisation release or require rigid adsorption energy. The energy released upon the relaxation of the adsorbed adsorbate components is known as the deformation energy. The energy of substrate-adsorbate configurations in which a component is removed is measured as dEad/dNi. The results of the study show that when iron is exposed to an acidic aqueous solution, all four inhibitor molecules can effectively prevent the iron corrosion. Adsorption energy values that are negative imply an exothermic, spontaneous adsorption process. This suggests that, the inhibitors and the Fe (110) surface have formed stable, robust bonds. As a result, this bond fortifies the surface, increasing its resistance to corrosive agent attack. Notably, the absolute value of the adsorption energy, which measures the strength of the bond between the inhibitor and the Fe (110) surface, directly affects the effectiveness of corrosion inhibition.
Adsorption energy ( Eads  ) values that are negative imply an exothermic, spontaneity and permanence of alanine, arginine, cysteine and tyrosine chemical adsorption on the surface of Fe (110). This suggests that, the inhibitors and the Fe (110) surface have formed robust and stable bonds. Heteroatoms, such as N,O and S are in close proximity to the surface under these circumstances. As a result, this bond fortifies the surface, increasing its resistance to the corrosive agent attack. Notably, the corrosion inhibition performance is directly influenced by the absolute value of Eads , which quantifies the strength of the bond between the inhibitor and the Fe (110) surface. The results demonstrate that these inhibitor molecules are good candidates for protecting iron surfaces from corrosion in acidic aqueous environments, highlighting their potential for practical applications in corrosion prevention.
Out of all the inhibitors examined, the study found that Tyrosine had the strongest adsorption energy, measuring about -2.93×105 kcal/mol. This finding indicates that, Tyrosine is the most effective inhibitor for preventing corrosion because it forms the strongest bond with the Fe (110) surface. Consequently, increase the inhibition of corrosion by creating a stable and thick layer of protection. On the other hand, Arginine showed the least adsorption energy ( 191.01kcal/ mol), indicating that it was less effective as an inhibitor. In summary, the study demonstrates that the amino acids under investigation have inhibitory performance in the following order: tyrosine > cysteine > alanine > arginine. The study's inhibitors, N,O, and S, had unshared electron pairs and were adsorbed on the Fe (110) surface through coordination bonds. When the empty d orbital is found on the metal surface, this forms a coordination bond with it. These results could lead to the development of more potent iron corrosion inhibitors in acidic aqueous solutions, advancing the field of corrosion prevention techniques. The presence of functional groups in Tyrosine supports the inhibitor molecule's higher surface area, and the benzene ring portion of Tyrosine are planar or parallel along the surface of Fe (110) coverage on the Fe crystal plane and increases its matrix contact to create stable adsorption [35,36]. By doing this, the Fe surface's defense against hostile ions such as Cl- and H3O+is strengthened. As a result of its larger adsorption energy than the other three amino acids, tyrosine has the highest inhibition rate among them, according to the data.
Fig. 2. MC simulation results in gas and aqueous phase a) alanine in gas phase, b) alanine in aqueous phase, c) arginine in gas phase, d) arginine in aqueous phase, e) Cysteine in gas phase, f) cysteine in aqueous phase, g ) tyrosine in gas phase and h ) tyrosine in aqueous phase.
The Table 2 presents evidence of the spontaneity and permanence of this chemical adsorption on the Fe surface by showing that all computed adsorption energies are negative (except for Arginine). Keep in mind that, higher adsorption energies (measured in absolute values) correspond to better adsorption. The amino acid molecule's adsorption energy on the Fe (110) surface (Table 2) is significantly higher than that of a water molecule on the Fe (110) crystal plane. This shows again how amino acid molecules can move water molecules around and firmly adsorb on the metal surface to create a hydrophobic protective layer. By stopping the corrosive medium from moving to the metal matrix, this film aids in the inhibition of corrosion [9]. The results demonstrate that these inhibitor molecules are good candidates for protecting iron surfaces from corrosion in acidic aqueous environments, underscoring their potential for practical applications in corrosion prevention.

3.2. DFT studies

The commonly used method for determining a compound's reactivity is molecular orbital occupation, or DFT, which looks at both high- and low-occupied orbitals. According to frontier molecular orbital theory, the lowest unoccupied molecular orbital (LUMO) and highest occupied molecular orbital (HOMO) of a corrosion inhibitor can reflect its morphology and adsorption site, which is important information for determining the inhibitor's inhibitory activity [37,38]. Numerous variables were calculated, such as the ionisation potential (I), chemical potential ( $\mu $ ), electron affinity (A), chemical hardness ( $\eta $ ), chemical softness or electron polarizability ( $\sigma $ ), electronegativity ( $\chi $ ), electrophilicity index ( $\omega $ ), nucleophilicity ( $\epsilon =1/\omega $ ) energy of lowest unoccupied molecular orbital (ELUMO), energy of highest occupied molecular orbital (EHOMO), and electron affinity (A). Compounds that effectively inhibit and stop corrosion processes are measured by the energy ( $\mathrm{\Delta }\mathrm{E}$ ) difference between their LUMO and HOMO values. Therefore, the more effectively inhibition occurs, the less energy is
required to remove an electron from the most recently occupied orbit. Energy also acts as a barometer for molecular stability; a lower $\mathrm{\Delta }\mathrm{E}$ value denotes the emergence of a more stable complex on the metal surface [39,40]. The energy gap ( $\mathrm{\Delta }\mathrm{E}$ ), which is significant for molecules' electron transport properties. Smaller $\mathrm{\Delta }\mathrm{E}$ values are linked to stronger corrosion resistance and increased interaction between the inhibitor and mild steel [37]. In Fig. 3 and Table 3, the corresponding quantum chemical parameters are shown. Nonetheless, a substantial body of literature has established a strong relationship between the LUMO-HOMO energy gap ( △Egap ) and the chemical reactivity of the molecules, with a soft molecule having a small value and a hard molecule having a large value [41,42]. When the orbital is full of electrons, more inhibition is generated and the material donates readily to the metal surface. Conversely, when the low unoccupied orbital value is small, there should be a good donation from the metal surface to the substance. Inhibitors react more strongly when $\mathrm{\Delta }\mathrm{E}$ is lower [43-47]. The Cysteine and Tyrosine molecule in this case has an $\mathrm{\Delta }\mathrm{E}$ of 7.49 and 7.74 eV, whereas the Alanine and Arginine molecules have $\mathrm{\Delta }\mathrm{E}$ values of 8.9 and 8.04 eV, respectively. Based on these numbers, it appears that the Cysteine and Tyrosine molecules is highly reactive. It is noteworthy that, the Cysteine and Tyrosine molecule inhibitor consistently displays the lowest $\mathrm{\Delta }\mathrm{E}$ value for the various hybrid functionals, indicating a high reactivity and efficiency in comparison to the two remaining compounds. The general reactivity and stability of the molecules are assessed using global hardness and electronegativity. The reactivity and ease of electron release increase with decreasing global hardness value. Furthermore, a higher value of overall softness indicates better performance in corrosion inhibition. High chemical reactivity and high inhibition efficiency are usually seen in inhibitors with low global hardness and high softness values. The calculated data indicate that the low hardness and high global softness of the cysteine and tyrosine molecule cause a high inhibition on the Fe (110) surface. Electrons are donated back to the metal surface through the interaction of the molecule. Strong molecules with a soft chemical makeup are effective corrosion inhibitors. This suggests that there is little difficulty in the soft molecule and the metal surface sharing electrons.
Table 2 MC simulation results in kcal/mol.
Compound Total energy Adsorption energy Rigid adsorption energy Deformation energy dEad/dNI (Compound) dEad/dNI (Water) dEad /dN(HCl)
Alanine -267.39 -2.61×105 -225.65 -2.61×105 -2.64×104 -4.51×104 -4.62×103
Arginine 200.57 191.01 130.77 60.23 54.56 -69.37 -30.44
Cysteine -160.68 -2.75×105 -112.93 -2.75×105 -2.71×104 -4.61×103 -4.51×104
Tyrosine -12.75 -2.93×105 -89.13 -2.93×105 -4.48×104 -4.62×103 -4.52×104
Fig. 3. Quantum chemical results.
Table 3 DFT results.
Compound EHomo [eV] ELUMO [eV] Energy gap ( ELUMO  - EHомо  ) [eV] I (-Е  номо  ) [eV] A (-E  LUMO  ) [eV] $\eta $ [eV] $\chi $ [eV] $\sigma (1/\eta )$ [eV-1] $\mu (-\chi )$ [eV] $\omega $ [eV] $\epsilon \left[{\mathrm{e}\mathrm{V}}^{-1}\right]$
Alanine -19.71 -10.81 8.9 19.71 10.81 4.45 15.26 0.22 -15.26 26.16 0.038
Cysteine -16.83 -9.34 7.49 16.83 9.34 3.74 13.08 0.26 13.08 22.87 0.043
Arginine -10.73 -2.69 8.04 10.73 2.69 4.02 6.71 0.24 -6.71 5.600 0.178
Tyrosine -16.80 -9.06 7.74 16.80 9.06 3.87 12.93 0.25 -12.93 21.60 0.046
Fig. 4. Adsorption of amino acid molecules on iron in HCl wash solution.
Absolute hardness is a crucial parameter to consider when talking about the stability and reactivity of molecules. Soft molecules are more reactive than hard ones because they have an easy time giving up electrons. Therefore, it is anticipated that inhibitors with the lowest global hardness values will effectively inhibit bulk metal corrosion in acidic media. An atom's propensity to draw electrons to it within a molecule is expressed by its electronegativity. The charge distribution is delocalized over the oxygen, nitrogen and sulfur atoms and $\pi $ bonds in all compounds, indicating that, these sites are responsible for donating the electrons to the Fe surface. The ionization potential and electron affinity stand for a molecule's ability to both supply and absorb electrons; the higher the value, the more likely the corresponding operation is to occur stable complex developed on the surface of the metal. The increased electronegativity and absolute electrophilicity index values an obtained nucleophilicity indicate increased corrosion inhibition. The hard/soft acid/base principle proposed by Pearson and the inhibitor compounds' ability to accept and transfer electrons serve as the main arguments in favour of these conclusions [32]. Aromatic rings and functional groups that support the amino acids high reactivity. These findings further support that, more reactive molecules make effective corrosion inhibitors. As a result, Tyrosine and Cysteine work better than other corrosion inhibitors. Tyrosine and Cysteine compounds appear to be potent corrosion inhibitors based on the possible values of electronic nucleophilicity, electron affinity, chemical potential, and molecular ionisation potential. All other quantum parameters and density mapping results fully supports the corrosion inhibition property of amino acid molecules. The mechanism of adsorption of amino acid molecules on the surface of Fe(110) in acidic environment is shown in Fig. 4.

4. Conclusions

One of the most efficient and affordable methods of reducing metallic degradation and failure is to use green corrosion inhibitors. Density functional theory (DFT) and Monte Carlo (MC) simulation are two effective theoretical tools used to evaluate the connection between a molecule's structure and corresponding efficiency. The results of the MC simulation demonstrate that by switching up the molecular configuration, the solvation effects can change the corrosion inhibition
efficacy. Theoretical study by MC simulation unveiled potential binding sites responsible for the amino acid molecular adsorption over the Fe (110) surface and thus offering perceptions into the fundamental process of corrosion inhibition. In summary, both MC simulation and DFT studies proves to be a useful approach in forecasting the corrosion inhibition capacity of amino acid compounds. The Fe ( 110 ) face has a low surface energy and a high surface atom coordination number. Because it offers more active sites, the Fe ( 110 ) face is therefore a good choice for an adsorption substrate. The best corrosion inhibitor is indicated by the maximum amount of negative-adsorption energy, and the compounds that have been identified are ranked Tyrosine > Cysteine > Alanine > Arginine. Out of all the inhibitors examined, the study found that Tyrosine had the strongest adsorption energy, measuring about -2.93×105kcal/mol. This finding demonstrates that Tyrosine is the most effective inhibitor for preventing corrosion because it forms the strongest bond with the Fe(110) surface in HCl medium. On the other hand, Arginine showed the least amount of adsorption energy ( 191.01kcal/mol ), indicating that it was less effective as an inhibitor. The heteroatoms such as S,O and N in the amino acid structure leads to robust protection efficacy when adsorbed over the Fe surface. The particular amino acid molecules that are being studied in this work have the ability to donate electrons to Fe (110), and as their electron-donating capacity increases, so does their inhibition efficiency. Both tyrosine and cysteine have greater chemical softness and lower hardness, according to the DFT studies' chemical softness and hardness values. The results of MC simulation and DFT studies illustrate the adsorption process of the corrosion inhibitor molecules replacing the solvent water and ions pre-adsorbed on the mild steel surface.

Author contributions

Data collection was performed by Dr. Umme Habeeba. The analysis and first draft of the manuscript was written by Dr. Narasimha Raghavendra.

Funding

No funding was received for conducting this study.

Data availability

All data generated or analyzed during this study are included in this published article.

Conflict of interest

Authors declare no conflict of interest.
[1]
E. Heitz, M.G. Fontana, R.W. Staehle (Eds.), Advances in Corrosion Science and Technology, 7 Plenum Press, New York, London, 1980365 Seiten, Preis:US $39, 50., ( 1980).

[2]
R. Kumar, H. Kim, G. Singh, Experimental and theoretical investigations of a newly synthesized azomethine compound as inhibitor for mild steel corrosion in aggressive media: a comprehensive study, J. Mol. Liq. 259 ( 2018) 199-208.

[3]
D. Daoud, T. Douadi, H. Hamani, S. Chafaa, M. Al-Noaimi, Corrosion inhibition of mild steel by two new S-heterocyclic compounds in 1 M HCl : experimental and computational study, Corros. Sci. 94 ( 2015) 21-37.

[4]
M. Sharma, S.S. Yadav, P. Sharma, L. Yadav, M.Z. Abedeen, H.S. Kushwaha, R. Gupta, An experimental and theoretical investigation of corrosion inhibitive behaviour of 4-amino antipyrine and its Schiff's base (BHAP) on mild steel in 1 M HCl solution, Inorg. Chem. Commun. 157 ( 2023) 111330.

[5]
R. Aslam, M. Mobin, M. Murmu, P. Banerjee, J. Aslam, L-Alanine methyl ester nitrate ionic liquid: synthesis, characterization and anti-corrosive application, J. Mol. Liq. 334 ( 2021) 116469.

[6]
X.-L. Li, B. Xie, C. Lai, J.-S. Feng, X.-Q. Liu, L. Chen, Y.-G. Yang, R.-W. Ji, J.Y. He, W. Li, Adsorption and corrosion inhibition performance of two planar rigid pyridinecarboxaldehyde-based double Schiff bases for mild steel in HCl solution: experimental and computational investigations, J. Mol. Liq. 355 ( 2022) 118926.

[7]
A.S. Raja, S. Rajendran, J. Sathiyabama, V. Prathipa, I.N. Karthika, A. Krishnaveni, Use of L-alanine as nature-friendly corrosion inhibitor for carbon steel in aqueous medium, Int. J. Nano Corr. Sci. Engg. 2 ( 2015) 26-40.

[8]
B.M. Prasanna, B.M. Praveen, N. Hebbar, T.V. Venkatesha, H.C. Tandon, Inhibition study of mild steel corrosion in 1 M hydrochloric acid solution by 2-chloro 3-formyl quinoline, Int. J. Ind. Chem. 7 ( 2016) 9-19.

[9]
E. Li, Y. Li, S. Liu, P. Yao, Choline amino acid ionic liquids as green corrosion inhibitors of mild steel in acidic medium, Colloids Surf. A: Physicochem. Eng. Asp. 657 ( 2023) 130541.

[10]
S. Abd El Wanees, M.M. Kamel, M. Ibrahim, S.M. Rashwan, Y. Atef, M.G. Abd Elsadek, Corrosion inhibition and synergistic effect of ionic liquids and iodide ions on the corrosion of C-steel in formation water associated with crude oil, J. Umm AlQura Univ. Appl. Sci. 10 ( 2024) 107-119.

[11]
A. Tazouti, N. Errahmany, M. Rbaa, M. Galai, Z. Rouifi, R. Touir, A. Zarrouk, S. Kaya, M.E. Touhami, B. El Ibrahimi, Effect of hydrocarbon chain length for acid corrosion inhibition of mild steel by three 8-(n-bromo-R-alkoxy) quinoline derivatives: experimental and theoretical investigations, J. Mol. Struct. 1244 ( 2021) 130976.

[12]
M. Ouakki, M. Galai, M. Cherkaoui, E.-H. Rifi, Z. Hatim, Inorganic compound (apatite doped by Mg and Na ) as a corrosion inhibitor for mild steel in phosphoric acidic medium, Anal. Bioanal. Electrochem. 10 ( 2018) 943-960.

[13]
A. Khadiri, R. Saddik, K. Bekkouche, A. Aouniti, B. Hammouti, N. Benchat, M. Bouachrine, R. Solmaz, Gravimetric, electrochemical and quantum chemical studies of some pyridazine derivatives as corrosion inhibitors for mild steel in 1 M HCl solution, J. Taiwan Inst. Chem. Eng. 58 ( 2016) 552-564.

[14]
A. Popova, M. Christov, T. Deligeorgiev,Influence of the molecular structure on the inhibitor properties of benzimidazole derivatives on mild steel corrosion in 1 M hydrochloric acid, Corrosion 59 ( 2003).

[15]
Sudheer M.A. Quraishi, 2-Amino-3, 5-dicarbonitrile-6-thio-pyridines: new and effective corrosion inhibitors for mild steel in 1 M HCl, Ind. Eng. Chem. Res. 53 ( 2014) 2851-2859.

[16]
M.El Faydy, M. Galai, R. Touir, A.El Assyry, M.Ebn Touhami, B. Benali, B. Lakhrissi, A. Zarrouk, Experimental and theoretical studies for steel XC38 corrosion inhibition in 1 M HCl by N -(8-hydroxyquinolin-5-yl)-methyl)-N-phenylacetamide, J. Mater. Environ. Sci. 7 ( 2016) 1406-1416.

[17]
M. Galai, M. Rbaa, M. Ouakki, K. Dahmani, S. Kaya, N. Arrousse, N. Dkhireche, S. Briche, B. Lakhrissi, M.E. Touhami, Functionalization effect on the corrosion inhibition of novel eco-friendly compounds based on 8-hydroxyquinoline derivatives: experimental, theoretical and surface treatment, Chem. Phys. Lett. 776 ( 2021) 138700.

[18]
M. Ramezanzadeh, G. Bahlakeh, B. Ramezanzadeh, Elucidating detailed experimental and fundamental understandings concerning the green organic-inorganic corrosion inhibiting molecules onto steel in chloride solution, J. Mol. Liq. 290 ( 2019) 111212.

[19]
M. Dehdab, M. Shahraki, S.M. Habibi-Khorassani, Theoretical study of inhibition efficiencies of some amino acids on corrosion of carbon steel in acidic media: green corrosion inhibitors, Amino Acids 48 ( 2016) 291-306.

[20]
K.F. Khaled, N.S. Abdelshafi, A.A. El-Maghraby, A. Aouniti, N. Al-Mobarak, B. Hammouti, Alanine as corrosion inhibitor for iron in acid medium: a molecular level study, Int. J. Electrochem. Sci. 7 ( 2012) 12706-12719.

[21]
M. Mobin, S. Zehra, M. Parveen,L-Cysteine as corrosion inhibitor for mild steel in 1 M HCl and synergistic effect of anionic, cationic and non-ionic surfactants, J. Mol. Liq. 216 ( 2016) 598-607.

[22]
K.F. Khaled, N.S. Abdel-Shafi, Chemical and electrochemical investigations of 1arginine as corrosion inhibitor for steel in hydrochloric acid solutions, Int. J. Electrochem. Sci. 8 ( 2013) 1409-1421.

[23]
F.M. Atlam, S.R. Al-Mhyawi, Experimental, theoretical explorations and MD simulation of the inhibition efficiency of tyrosine on carbon steel in hydrochloric acid, J. Mol. Struct. 1246 ( 2021) 131102.

[24]
L. Hamadi, S. Mansouri, K. Oulmi, A. Kareche, The use of amino acids as corrosion inhibitors for metals: a review, Egypt. J. Pet. 27 ( 2018) 1157-1165.

[25]
G.L.F. Mendonça, S.N. Costa, V.N. Freire, P.N.S. Casciano, A.N. Correia, P. de LimaNeto, Understanding the corrosion inhibition of carbon steel and copper in sulphuric acid medium by amino acids using electrochemical techniques allied to molecular modelling methods, Corros. Sci. 115 ( 2017) 41-55.

[26]
A. Salhi, S. Tighadouini, M. El-Massaoudi, M. Elbelghiti, A. Bouyanzer, S. Radi, S. El Barkany, F. Bentiss, A. Zarrouk, Keto-enol heterocycles as new compounds of corrosion inhibitors for carbon steel in 1 M HCl : weight loss, electrochemical and quantum chemical investigation, J. Mol. Liq. 248 ( 2017) 340-349.

[27]
L. Larabi, O. Benali, S.M. Mekelleche, Y. Harek, 2-Mercapto-1-methylimidazole as corrosion inhibitor for copper in hydrochloric acid, Appl. Surf. Sci. 253 ( 2006) 1371-1378.

[28]
S. Hammes-Schiffer, A conundrum for density functional theory, Science 355 ( 2017) 28-29.

[29]
A. Rizi, A. Sedik, A. Acidi, K.O. Rachedi, H. Ferkous, M. Berredjem, A. Delimi, A. Abdennouri, M. Alam, B. Ernst, Sustainable and green corrosion inhibition of mild steel: insights from electrochemical and computational approaches, ACS Omega 8 ( 2023) 47224-47238.

[30]
L. Guo, I.B. Obot, X. Zheng, X. Shen, Y. Qiang, S. Kaya, C. Kaya, Theoretical insight into an empirical rule about organic corrosion inhibitors containing nitrogen, oxygen, and sulfur atoms, Appl. Surf. Sci. 406 ( 2017) 301-306.

[31]
M. Muslim, A. Ali, I. Neogi, N. Dege, M. Shahid, M. Ahmad, Facile synthesis, topological study, and adsorption properties of a novel Co (II)-based coordination polymer for adsorptive removal of methylene blue and methyl orange dyes, Polyhedron 210 ( 2021) 115519.

[32]
H.H. Rasul, D.M. Mamad, Y.H. Azeez, R.A. Omer, K.A. Omer, Theoretical investigation on corrosion inhibition efficiency of some amino acid compounds, Comput. Theor. Chem. 1225 ( 2023) 114177.

[33]
E. Berdimurodov, A. Kholikov, K. Akbarov, L. Guo, S. Kaya, D.K. Verma, M. Rbaa, O. Dagdag, Novel glycoluril pharmaceutically active compound as a green corrosion inhibitor for the oil and gas industry, J. Electroanal. Chem. 907 ( 2022) 116055.

[34]
H. Mi, G. Xiao, X. Chen, Theoretical evaluation of corrosion inhibition performance of three antipyrine compounds, Comput. Theor. Chem. 1072 ( 2015) 7-14.

[35]
Q. Wang, L. Liu, Q. Zhang, X. Wu, H. Zheng, P. Gao, G. Zeng, Z. Yan, Y. Sun, Z. Li, Insight into the anti-corrosion performance of Artemisia argyi leaves extract as eco-friendly corrosion inhibitor for carbon steel in HCl medium, Sustain. Chem. Pharm. 27 ( 2022) 100710.

[36]
N. Mazlan, K. Jumbri, M.A. Kassim, R.A. Wahab, M.B.A. Rahman, Density functional theory and molecular dynamics simulation studies of bio-based fatty hy-drazide-corrosion inhibitors on Fe (1 1 0) in acidic media, J. Mol. Liq. 347 ( 2022) 118321.

[37]
A.Y. Musa, A.A.H. Kadhum, A.B. Mohamad, M.S. Takriff, A.R. Daud, S.K. Kamarudin, On the inhibition of mild steel corrosion by 4 -amino- 5 -phenyl- 4 H 1, 2, 4-trizole-3-thiol, Corros. Sci. 52 ( 2010) 526-533.

[38]
L. Guo, G. Ye, I.B. Obot, X. Li, X. Shen, W. Shi, X. Zheng, Synergistic effect of potassium iodide with L-tryptophane on the corrosion inhibition of mild steel: a combined electrochemical and theoretical study, Int. J. Electrochem. Sci. 12 ( 2017) 166-177.

[39]
R. Oukhrib, Y. Abdellaoui, A. Berisha, H. Abou Oualid, J. Halili, K. Jusufi, M.Ait El Had, H. Bourzi, S. El Issami, F.A. Asmary, DFT, Monte Carlo and molecular dynamics simulations for the prediction of corrosion inhibition efficiency of novel pyrazolylnucleosides on Cu (111) surface in acidic media, Sci. Rep. 11 ( 2021) 3771.

[40]
M. Foschini, H.S. Silva, R.A. Silva, A. Marletta, D. Gonçalves,Theoretical and experimental studies on the electronic, optical, and structural properties of poly-pyrrole-2-carboxylic acid films, Chem. Phys. 425 ( 2013) 91-95.

[41]
N.L.P. Andrews, J.Z. Fan, R.L. Forward, M.C. Chen, H.-P. Loock, Determination of the thermal, oxidative and photochemical degradation rates of scintillator liquid by fluorescence EEM spectroscopy, Phys. Chem. Chem. Phys. 19 ( 2017) 73-81.

[42]
E.E. Ebenso, C. Verma, L.O. Olasunkanmi, E.D. Akpan, D.K. Verma, H. Lgaz, L. Guo, S. Kaya, M.A. Quraishi, Molecular modelling of compounds used for corrosion inhibition studies: a review, Phys. Chem. Chem. Phys. 23 ( 2021) 19987-20027.

[43]
A. Dehghani, G. Bahlakeh, B. Ramezanzadeh, M. Ramezanzadeh, Electronic/atomic level fundamental theoretical evaluations combined with electrochemical/surface examinations of Tamarindus indiaca aqueous extract as a new green inhibitor for mild steel in acidic solution (HCl 1 M), J. Taiwan Inst. Chem. Eng. 102 ( 2019) 349-377.

[ 44 K.M. Zohdy, A.M. El-Shamy, A. Kalmouch, E.A.M. Gad, The corrosion inhibition of ( $\left. 2\mathrm{Z},{2}^{\text{'}}\mathrm{Z}\right)-4,{4}^{\text{'}}$-(1, 2-phenylene bis (azanediyl)) bis (4-oxobut-2-enoic acid) for carbon steel in acidic media using DFT, Egypt. J. Pet. 28 (2019) 355-359.

[45]
D.Q. Dao, T.D. Hieu, T. Le Minh Pham, D. Tuan, P.C. Nam, I.B. Obot, DFT study of the interactions between thiophene-based corrosion inhibitors and an Fe 4 cluster, J. Mol. Model. 23 ( 2017) 1-15.

[46]
J. Chen, The interaction of flotation reagents with metal ions in mineral surfaces: a perspective from coordination chemistry, Miner. Eng. 171 ( 2021) 107067.

[47]
R. Omer, P. Koparır, I. Qader, L. Ahmed, Theoretical determination of corrosion inhibitor activities of naphthalene and tetralin, Gazi Univ. J. Sci. 35 ( 2022) 434-444.

Outlines

/